CHIMIE
Liaisons
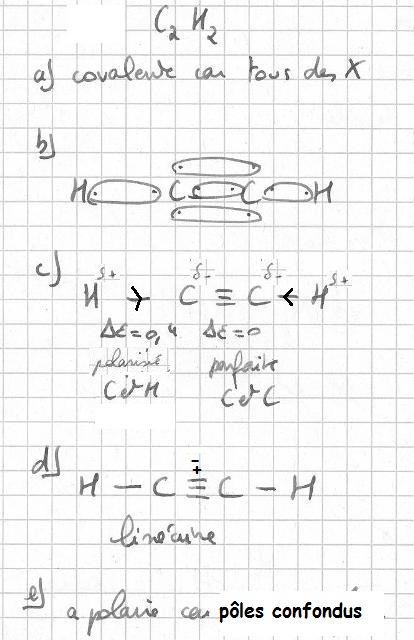
Pour les molécules
H2S, BeSe, Br2, SiO2, BaO, CI4, PCl3, N2, MgCl2, HCl, AlI3,
CH3Cl, C2H2, CO2, NaOH, K2S, CCl2S, NIF2, réponds aux
questions suivantes :
a) Quel est le type de liaison
entre ces atomes et pourquoi ?
b) Représente la formation de liaison selon Lewis
c) Représente la molécule finale selon Lewis
Uniquement pour les liaisons covalentes, en plus :
d) Représente la molécule finale selon Cram
e) La molécule est elle polaire ou apolaire et pourquoi

















